lemon-mirror:
Home >> Ford >> 2009 >> Focus L4-2.0L >> Repair and Diagnosis >> Powertrain Management >> Computers and Control Systems >> Testing and Inspection >> Scan Tool Testing and Procedures >> Typical Diagnostic Reference Values

Typical Diagnostic Reference Values

Typical Diagnostic Reference Values Notes (Part 1):





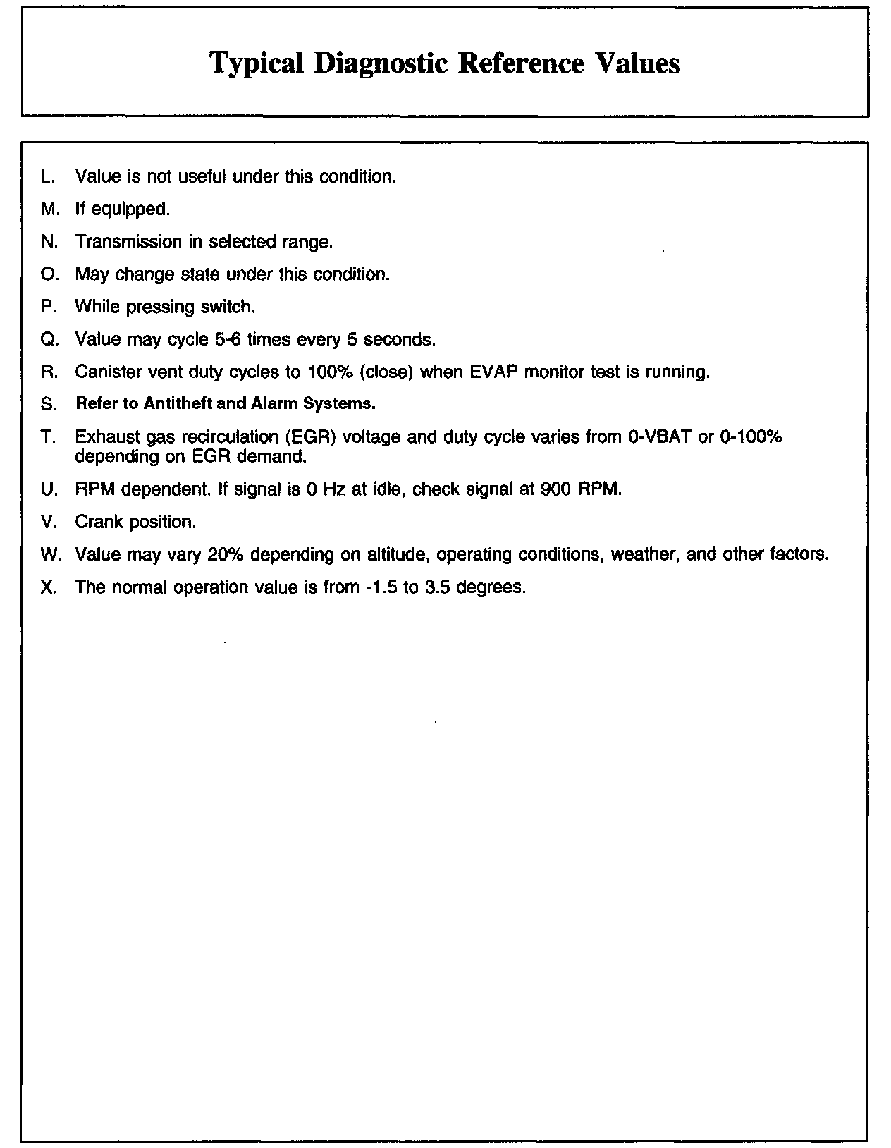
Typical Diagnostic Reference Values Notes (Part 2):





2.0L 4V Focus (Part 1):





2.0L 4V Focus (Part 2):





2.0L 4V Focus (Part 3):