lemon-mirror:
Home >> Ford >> 2009 >> Escape 2WD L4-2.5L >> Repair and Diagnosis >> Powertrain Management >> Computers and Control Systems >> Testing and Inspection >> Scan Tool Testing and Procedures >> Typical Diagnostic Reference Values

Typical Diagnostic Reference Values

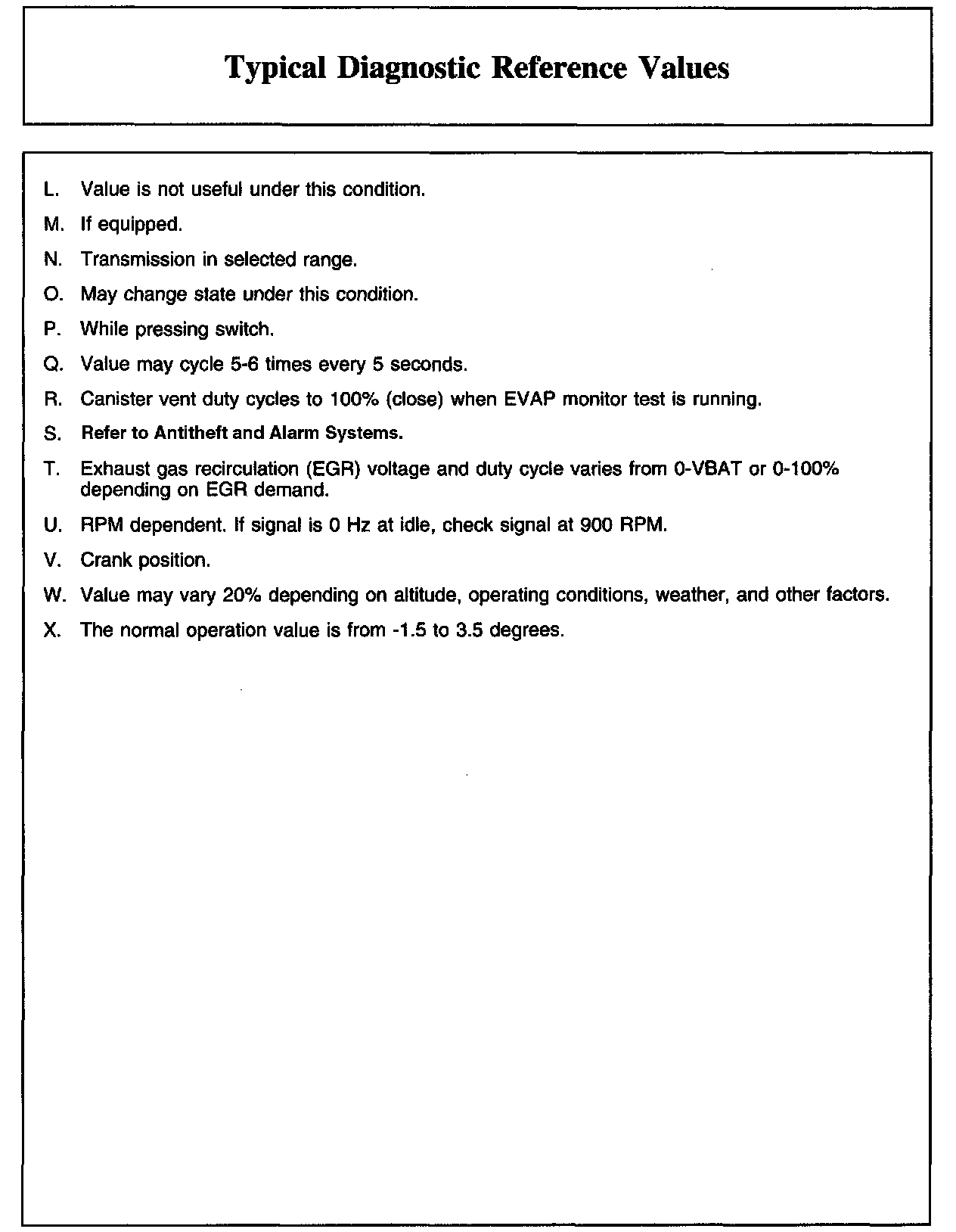
Typical Diagnostic Reference Values Notes (Part 1):





Typical Diagnostic Reference Values Notes (Part 2):





2.5L 4V Escape/Mariner (Part 1):





2.5L 4V Escape/Mariner (Part 2):





2.5L 4V Escape/Mariner (Part 3):