lemon-mirror:
Home >> Ford >> 2009 >> Edge FWD V6-3.5L >> Repair and Diagnosis >> Maintenance >> Tune-up and Engine Performance Checks >> Compression Check >> Specifications

Compression Check: Specifications




Compression Test - Test Results

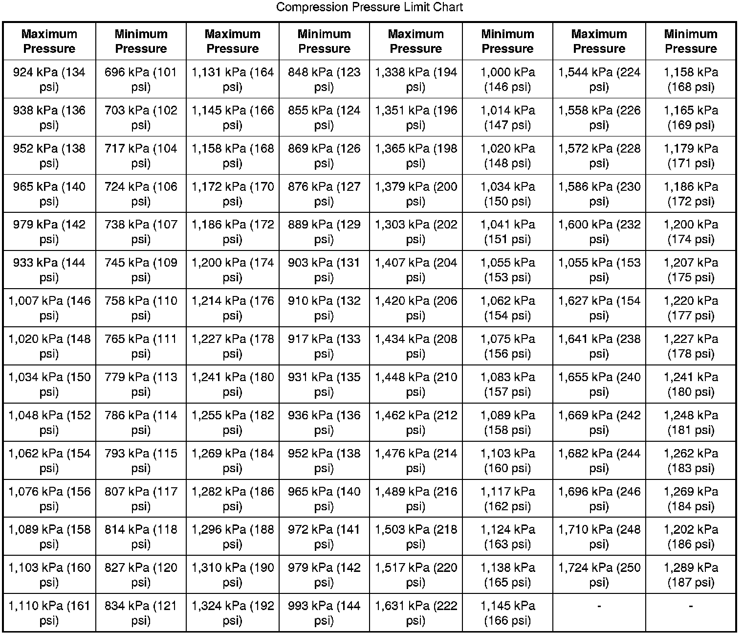
The indicated compression pressures are considered within specification if the lowest reading cylinder is at least 75% of the highest reading. Refer to the Compression Pressure Limit Chart.

Compression Pressure Limit Chart:





If one or more cylinders reads low, squirt approximately one tablespoon of engine oil meeting Ford specification on top of the pistons in the low-reading cylinders. Repeat the compression pressure check on these cylinders.

Compression Test - Interpreting Compression Readings

1. If compression improves considerably, piston rings are worn or damaged.

2. If compression does not improve, valves are sticking or not seating correctly.

3. If 2 adjacent cylinders indicate low compression pressures and squirting oil on each piston does not increase compression, the head gasket may be leaking between cylinders. Engine oil or coolant in cylinders could result from this condition.

Use the Compression Pressure Limit Chart when checking cylinder compression so that the lowest reading is within 75% of the highest reading.