lemon-mirror:
Home >> Ford >> 2009 >> E 150 V8-5.4L >> Repair and Diagnosis >> Powertrain Management >> Computers and Control Systems >> Testing and Inspection >> Scan Tool Testing and Procedures >> Typical Diagnostic Reference Values

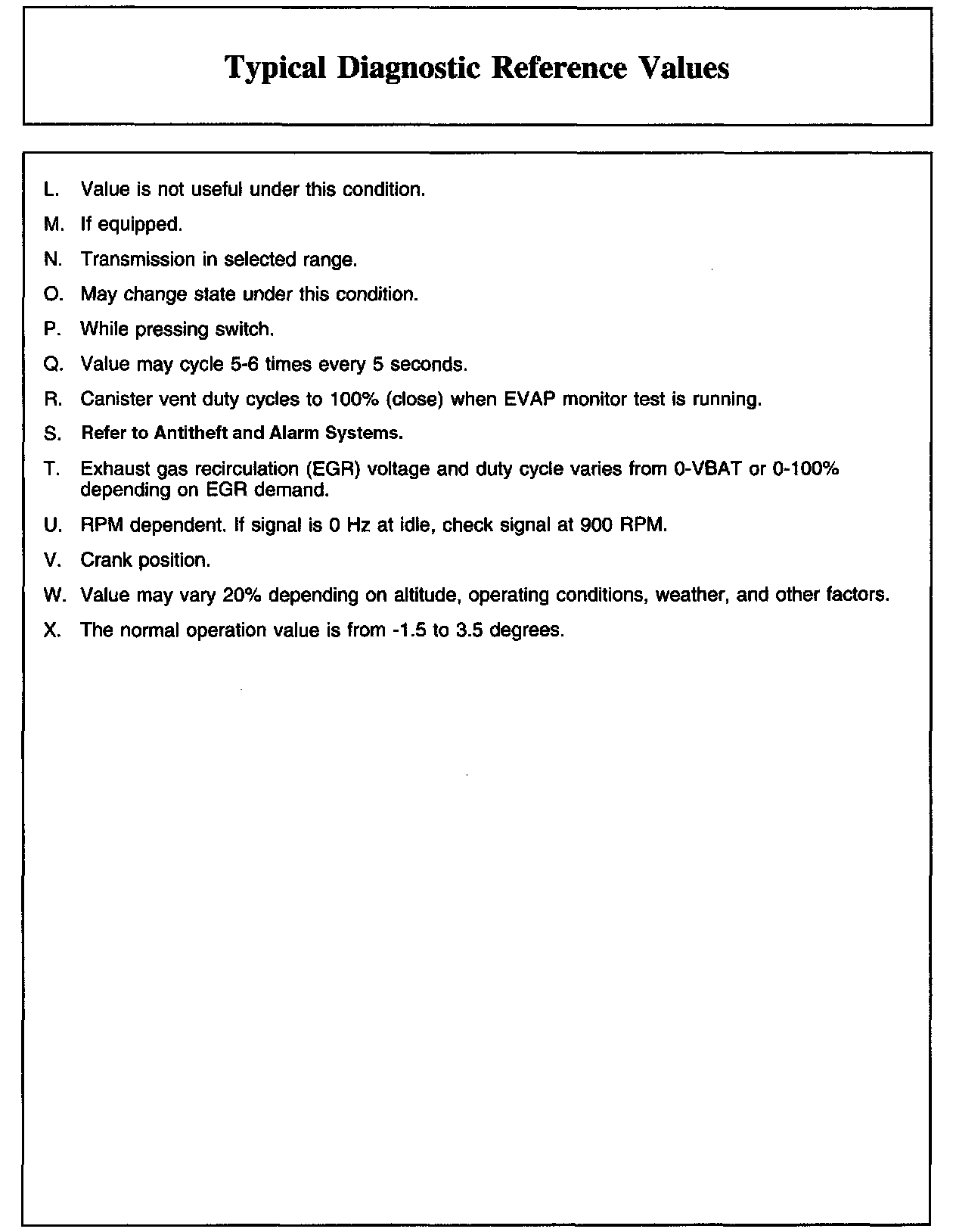
Typical Diagnostic Reference Values

Typical Diagnostic Reference Values Notes (Part 1):





Typical Diagnostic Reference Values Notes (Part 2):





5.4L 2V E-Series (Part 1):





5.4L 2V E-Series (Part 2):





5.4L 2V E-Series (Part 3):