lemon-mirror:
Home >> Ford >> 2008 >> Focus L4-2.0L >> Repair and Diagnosis >> Powertrain Management >> Computers and Control Systems >> Testing and Inspection >> Pinpoint Tests >> Test Z: Intermittent

Test Z: Intermittent

PINPOINT TEST Z: INTERMITTENT


Warning And PCM PIDS/Signals:






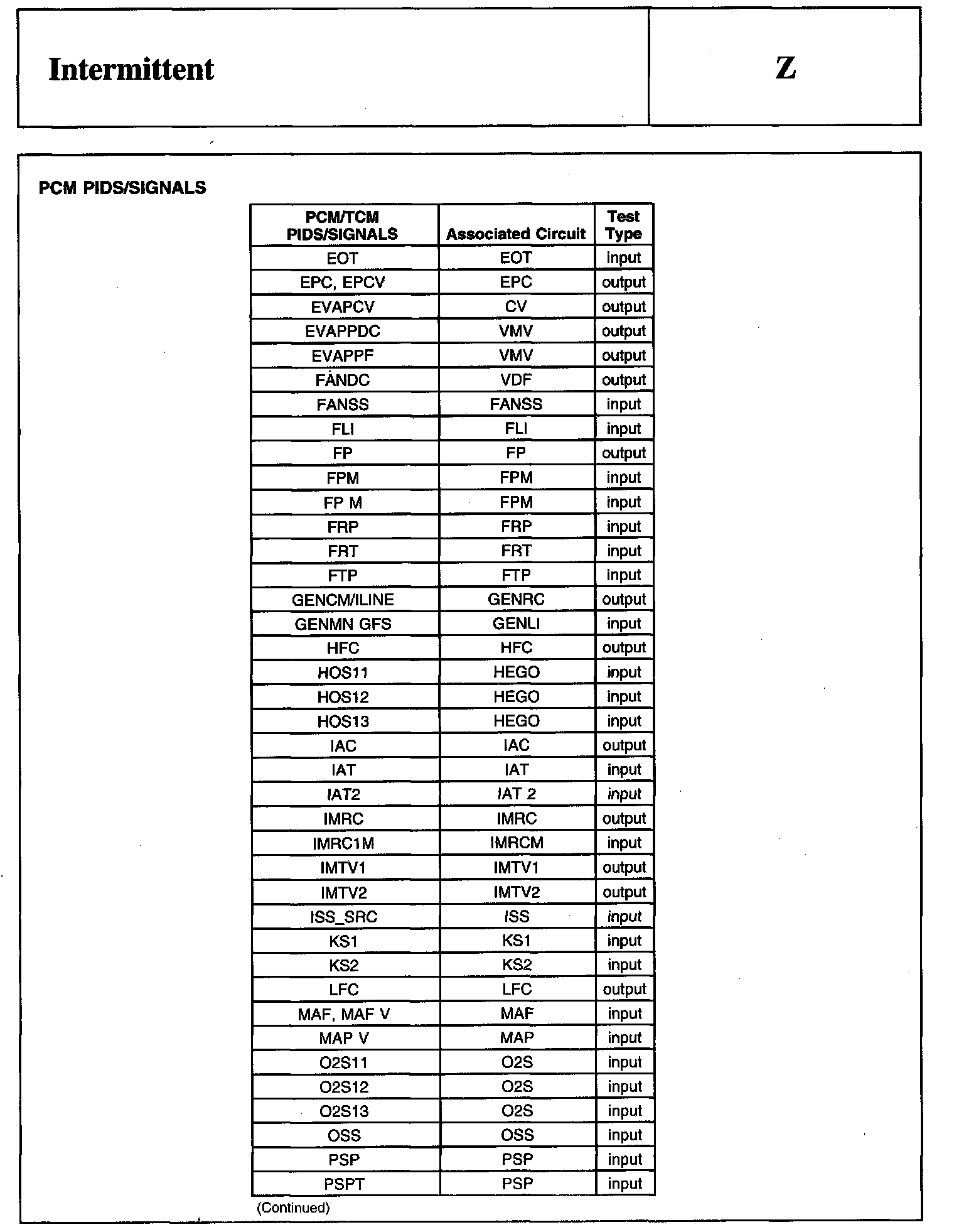
PCM PIDS/Signals Continued:






Z1:






Z2-Z5:






Z6-Z8:






Z9-Z10:






Z11-Z12:






Z13-Z14:






Z15:






Z16:






Z17:






Z18-Z19: