lemon-mirror:
Home >> Ford >> 2004 >> Excursion 4WD V10-6.8L VIN S >> Repair and Diagnosis >> Maintenance >> Alignment >> Specifications >> Camber/Caster Service Adjuster Selection Chart

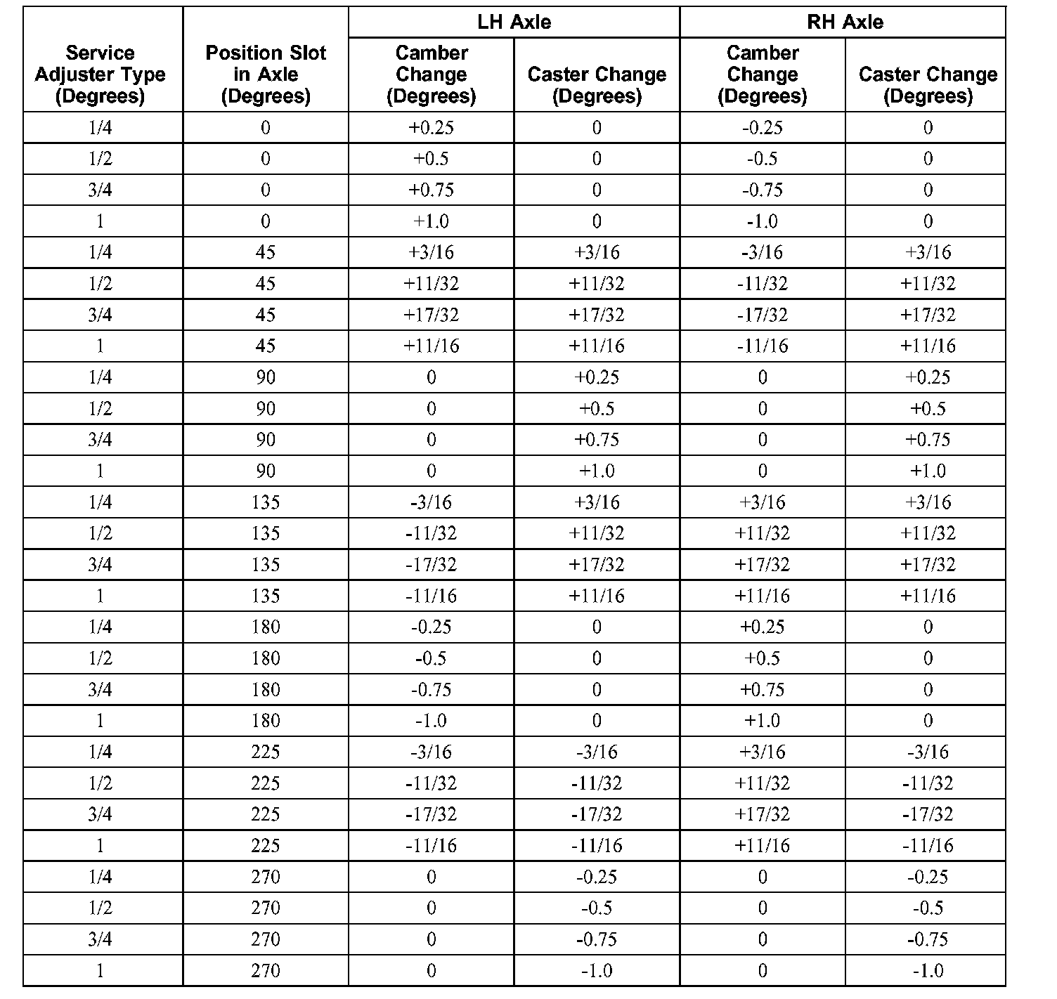
Camber/Caster Service Adjuster Selection Chart

Camber/Caster Service Adjuster - F-250/F-350, 4X4, And F-450, F-550 Part 1:



Camber/Caster Service Adjuster - F-250/F-350, 4X4, And F-450, F-550 Part 2: