lemon-mirror:
Home >> Ford >> 1994 >> Probe V6-153 2.5L DOHC >> Repair and Diagnosis >> Powertrain Management >> Computers and Control Systems >> Specifications >> Automatic Transaxle

Automatic Transaxle

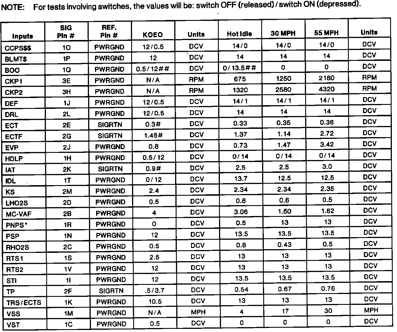
Diagnostic Reference Values (Part 1):



Diagnostic Reference Values (Part 2):