lemon-mirror:
Home >> Chevrolet >> 2013 >> Volt L4-1.4L Elect >> Repair and Diagnosis >> Hybrid Drive Systems >> Power Control System >> Specifications

Power Control System: Specifications




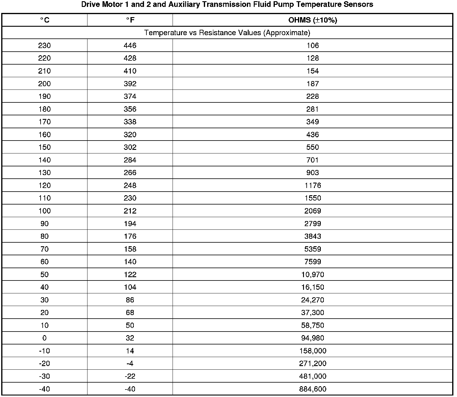
Temperature Versus Resistance