lemon-mirror:
Home >> Chevrolet >> 2013 >> Malibu L4-2.5L >> Repair and Diagnosis >> Specifications >> Fluid Type Specifications >> Engine >> System Specifications

System Specifications





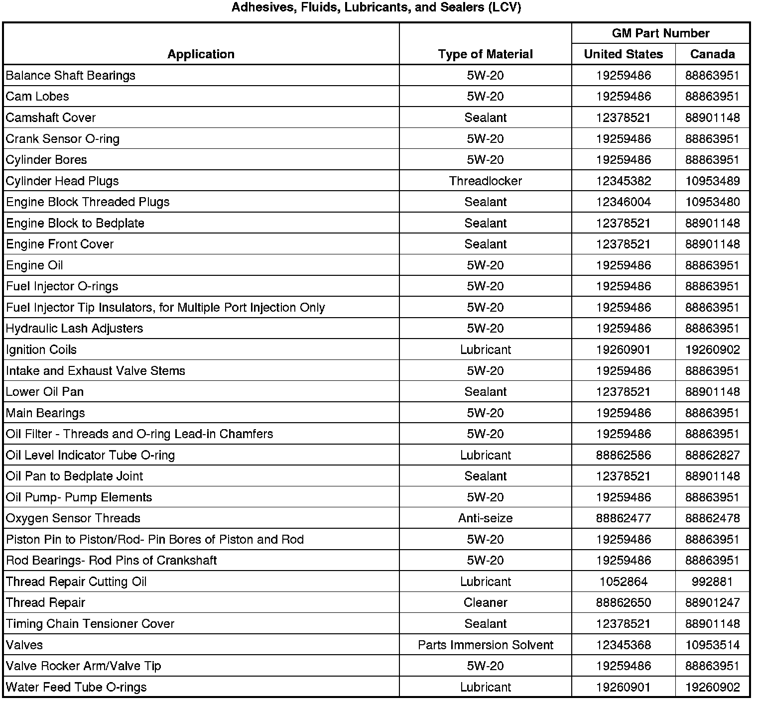
Adhesives, Fluids, Lubricants, and Sealers (LCV)