lemon-mirror:
Home >> Chevrolet >> 2012 >> Orlando (CANADA) L4-2.4L >> Repair and Diagnosis >> Specifications >> Mechanical Specifications >> Engine >> System Specifications >> Engine Mechanical Specifications

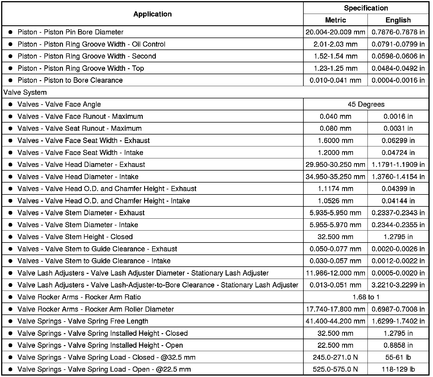
Engine Mechanical Specifications




Engine Mechanical Specifications (LAF, LEA, or LUK)