lemon-mirror:
Home >> Chevrolet >> 2012 >> Caprice PPV V6-3.6L >> Repair and Diagnosis >> Specifications >> Mechanical Specifications >> Engine >> System Specifications >> Service Limits & General Specifications

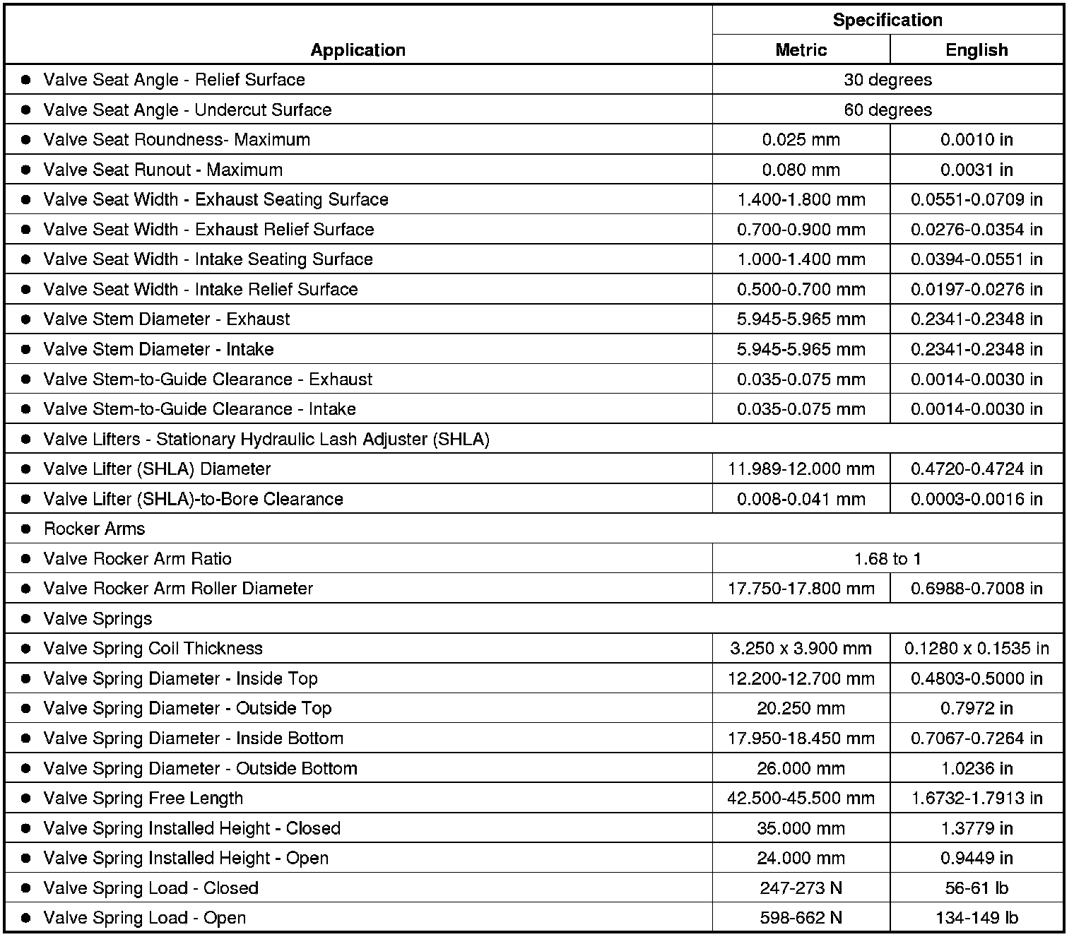
Service Limits & General Specifications




Engine Mechanical Specifications (LFX)