lemon-mirror:
Home >> Chevrolet >> 2011 >> Impala V6-3.9L >> Repair and Diagnosis >> Powertrain Management >> Computers and Control Systems >> Specifications >> Temperature Versus Resistance

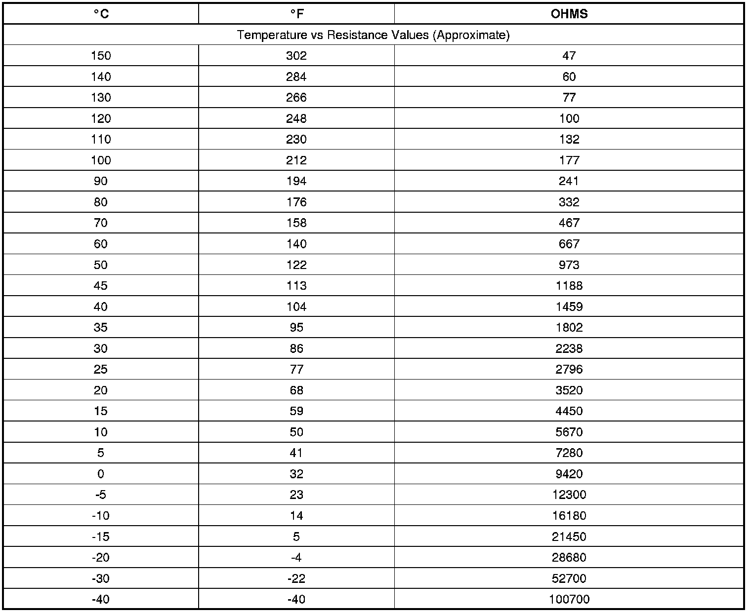
Temperature Versus Resistance




Temperature Versus Resistance