lemon-mirror:
Home >> Chevrolet >> 2010 >> Traverse FWD V6-3.6L >> Repair and Diagnosis >> Specifications >> Mechanical Specifications >> Engine >> System Specifications >> Service Limits & General Specifications

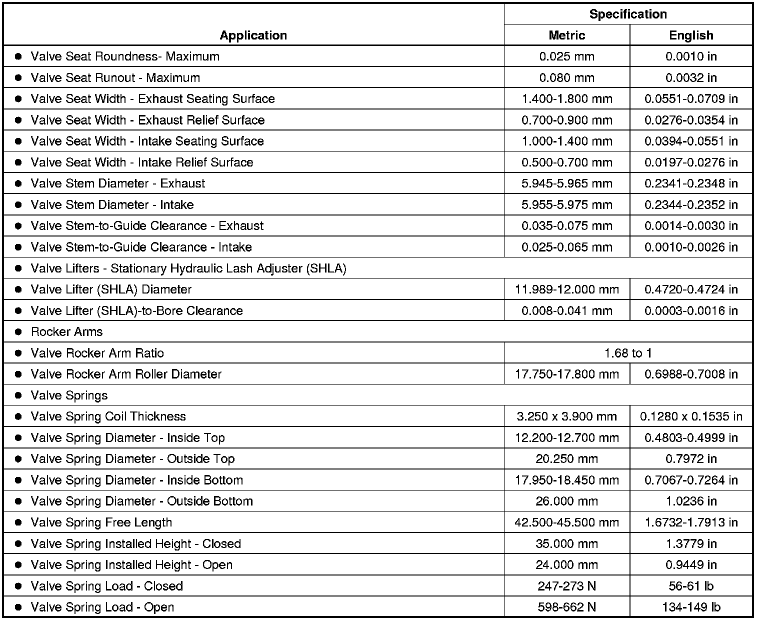
Service Limits & General Specifications




Engine Mechanical Specifications (LLT) (3.6L)