lemon-mirror:
Home >> Chevrolet >> 2008 >> Malibu L4-2.4L >> Repair and Diagnosis >> Specifications >> Electrical Specifications >> Computers and Control Systems

Computers and Control Systems



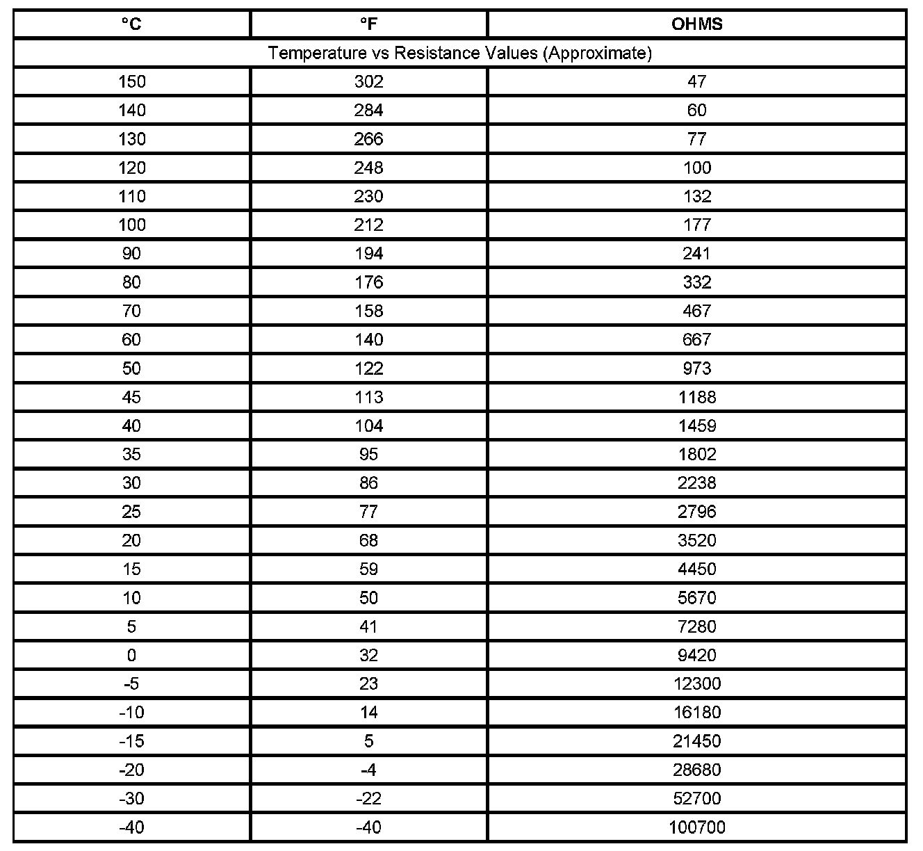
Temperature Versus Resistance