lemon-mirror:
Home >> Chevrolet >> 2008 >> Impala V6-3.5L >> Repair and Diagnosis >> Powertrain Management >> Specifications

Powertrain Management: Specifications



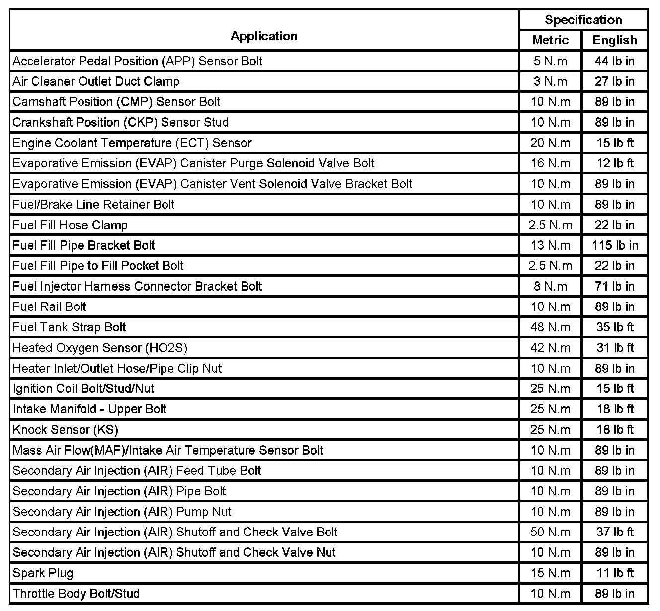
Fastener Tightening Specifications