lemon-mirror:
Home >> Chevrolet >> 2008 >> Express 2500 V8-6.6L DSL Turbo >> Repair and Diagnosis >> Specifications >> Electrical Specifications >> Coolant Temperature Sensor/Switch (For Computer)

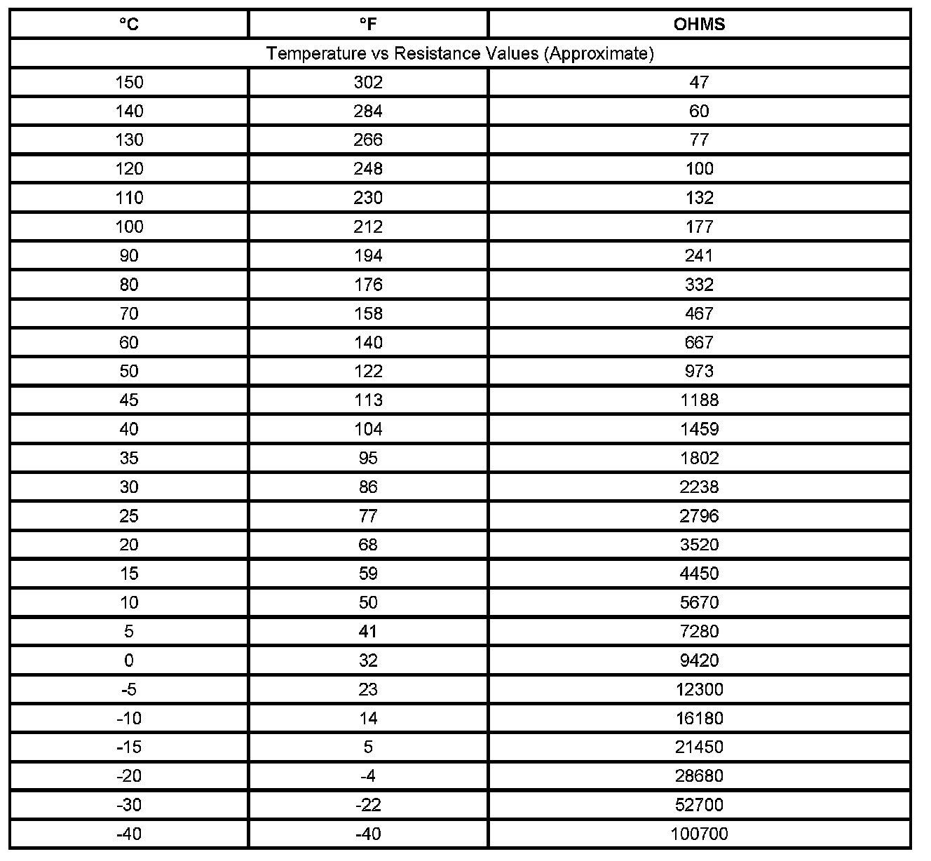
Coolant Temperature Sensor/Switch (For Computer)



Temperature Versus Resistance (ECT Sensors)