lemon-mirror:
Home >> Chevrolet >> 2007 >> Malibu V6-3.5L >> Repair and Diagnosis >> Specifications >> Fluid Type Specifications >> Engine >> System Specifications

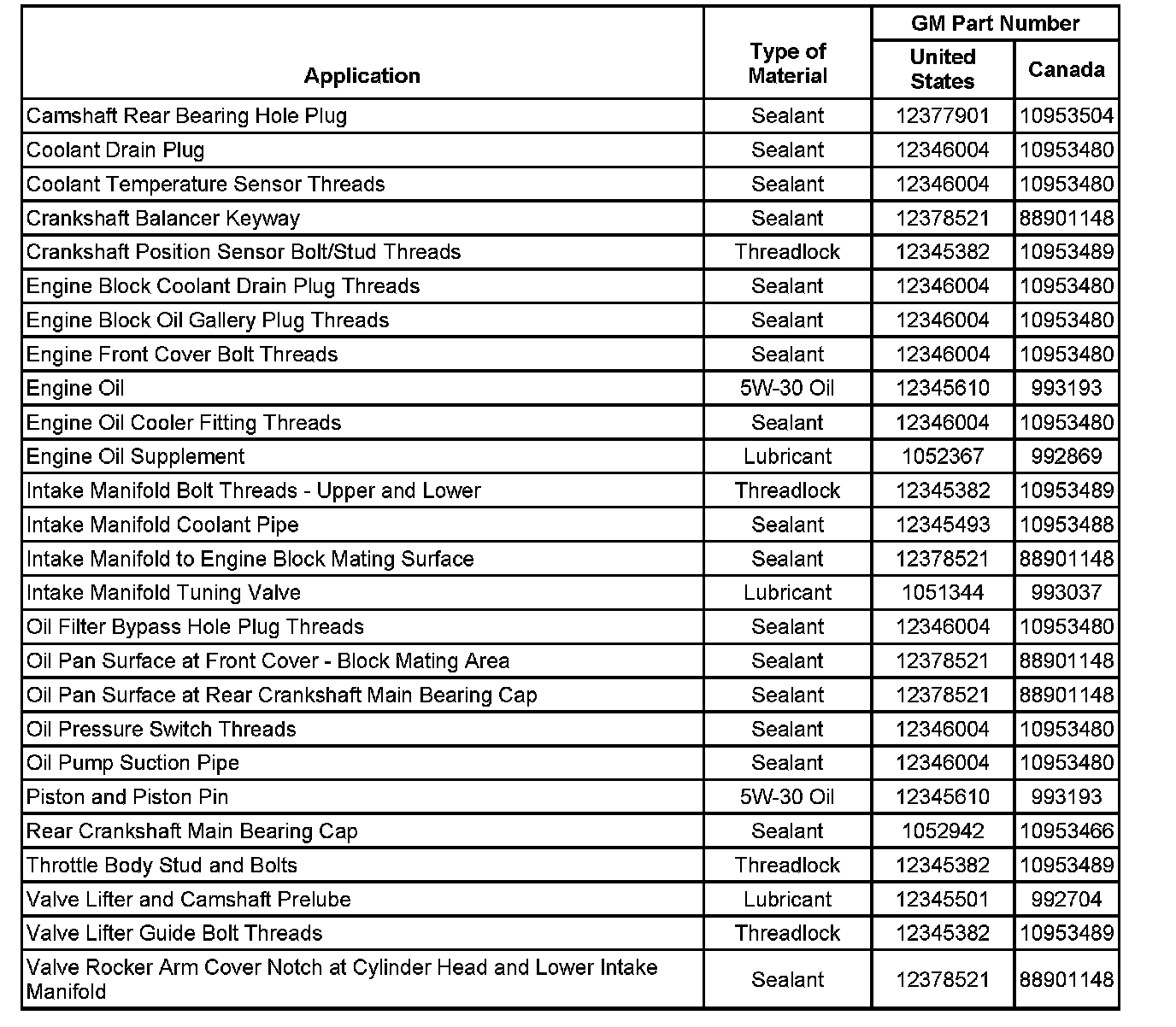
System Specifications



Sealers, Adhesives, and Lubricants

Sealers, Adhesives, and Lubricants: