lemon-mirror:
Home >> Chevrolet >> 2004 >> Classic L4-2.2L VIN F >> Repair and Diagnosis >> Specifications >> Mechanical Specifications >> Engine >> System Specifications >> Thread Repair Specifications

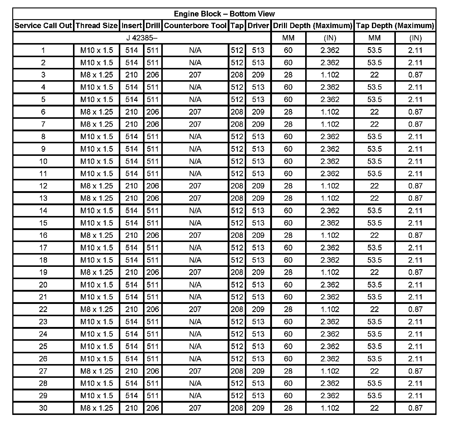
Thread Repair Specifications

Thread Repair Specifications








Engine Block - Front View








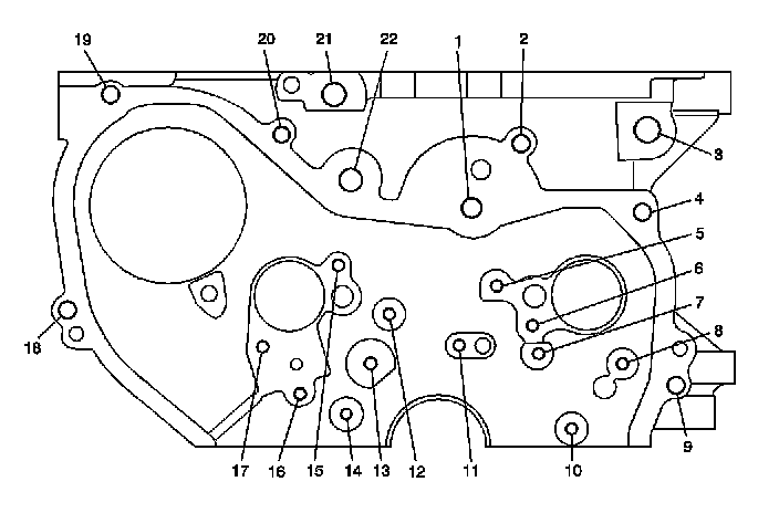
Engine Block - Back View








Engine Block - Left Side View








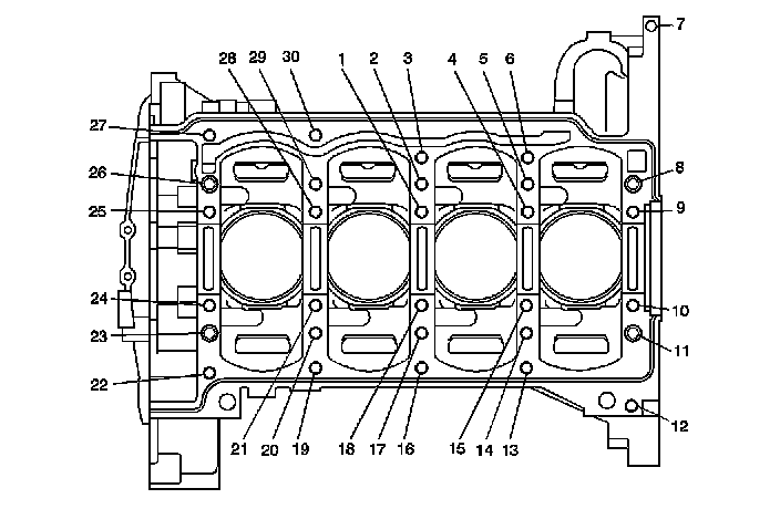
Engine Block - Bottom View








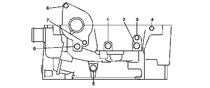
Engine Block - Right Side View








Engine Block - Top View








Lower Crankcase - Front View








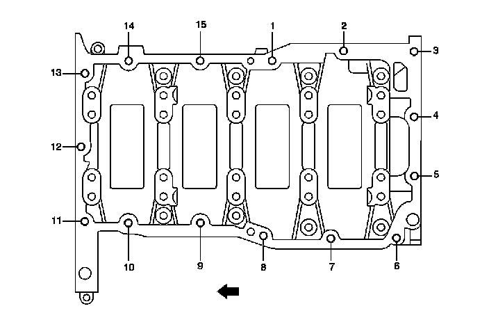
Lower Crankcase - Back View








Lower Crankcase - Bottom View








Lower Crankcase - Left View








Lower Crankcase - Right View











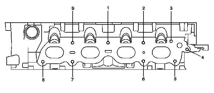
Cylinder Head - Top View








Cylinder Head - Intake Manifold Deck View








Cylinder Head - Exhaust Manifold Deck View








Cylinder Head - Front View








Cylinder Head - Back View








Cylinder Head - Bottom View