lemon-mirror:
Home >> Buick >> 2013 >> Verano L4-2.4L >> Repair and Diagnosis >> Specifications >> Mechanical Specifications >> Engine >> System Specifications >> Engine Mechanical Specifications

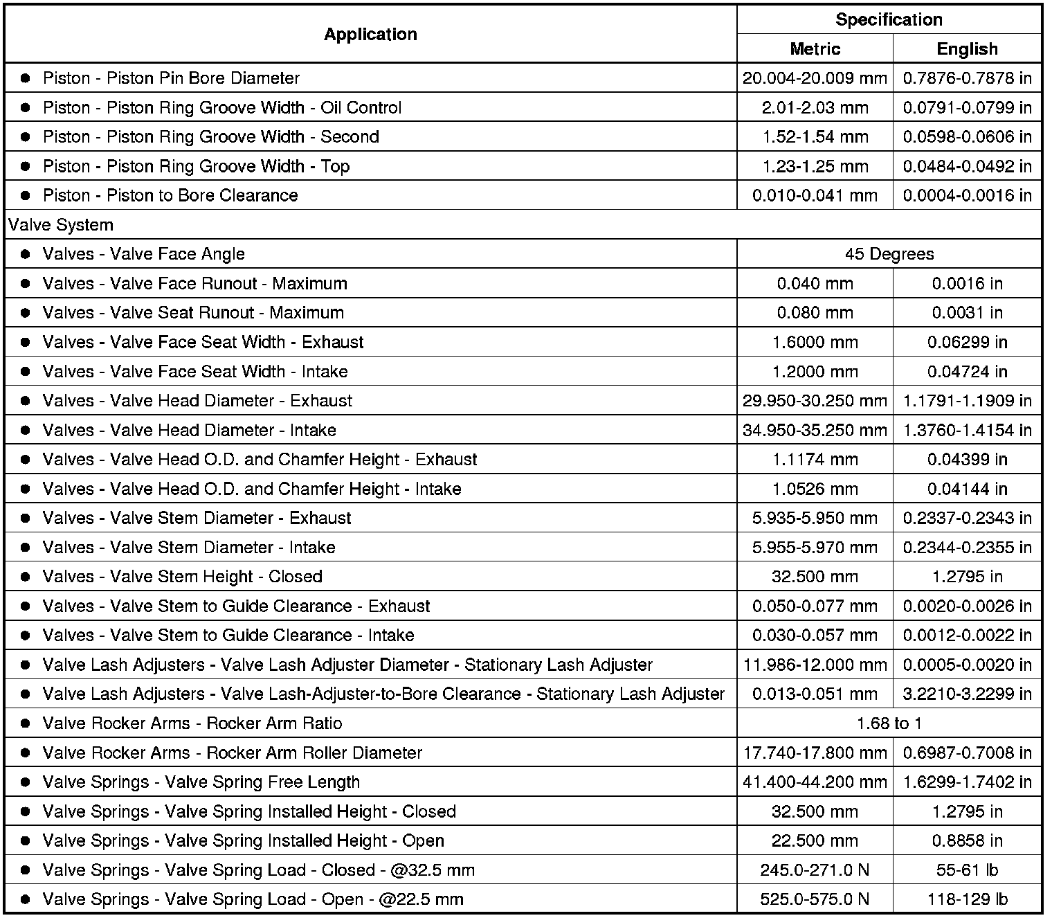
Engine Mechanical Specifications




Engine Mechanical Specifications (LAF, LEA, or LUK)