lemon-mirror:
Home >> Buick >> 2013 >> Verano L4-2.0L Turbo >> Repair and Diagnosis >> Specifications >> Mechanical Specifications >> Engine >> System Specifications >> Service Limits & General Specifications

Service Limits & General Specifications




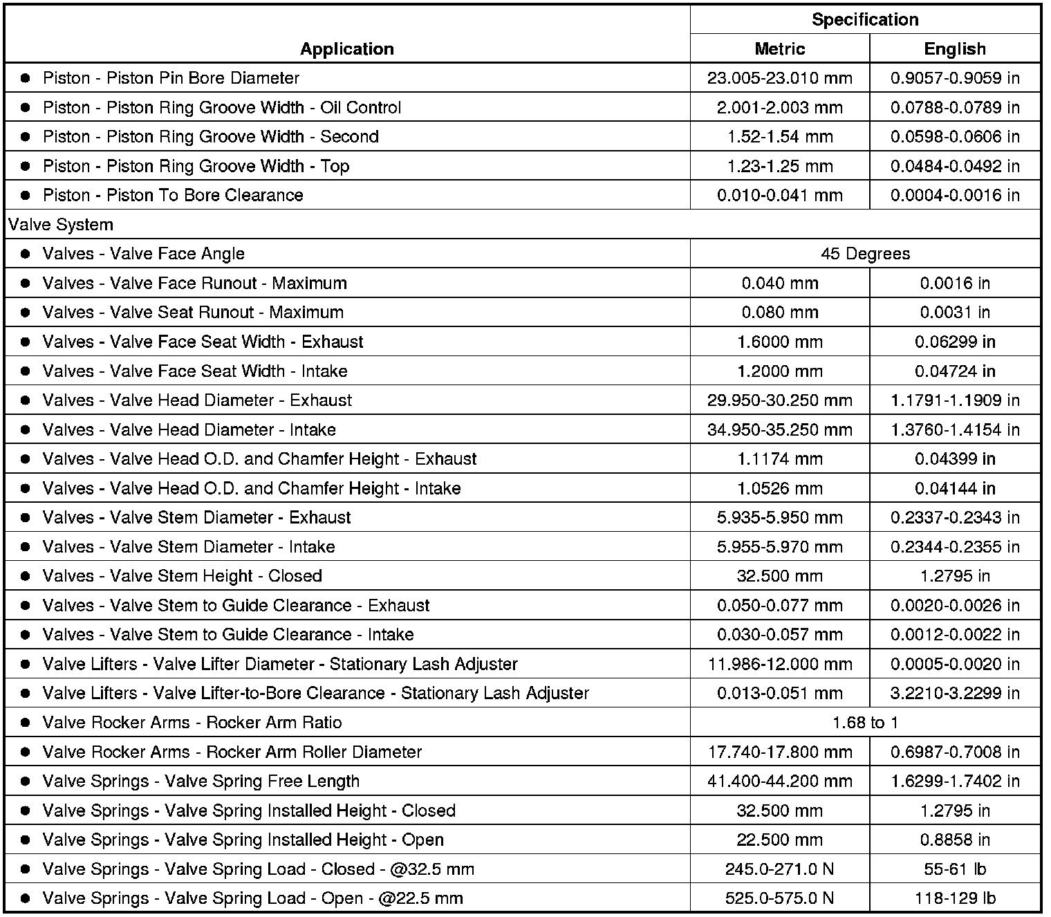
Engine Mechanical Specifications (LDK, LHU)