lemon-mirror:
Home >> Buick >> 2013 >> Regal L4-2.4L >> Repair and Diagnosis >> Specifications >> Mechanical Specifications >> Engine >> System Specifications >> Engine Mechanical Specifications

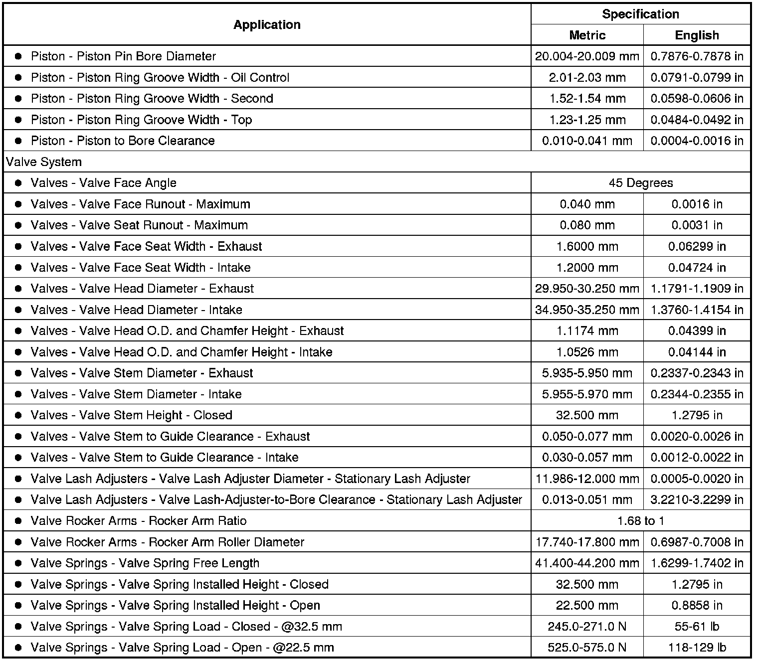
Engine Mechanical Specifications





Engine Mechanical Specifications (LAF, LEA, or LUK)