lemon-mirror:
Home >> Buick >> 2013 >> Regal L4-2.4L >> Repair and Diagnosis >> Hybrid Drive Systems >> Power Control System >> Specifications

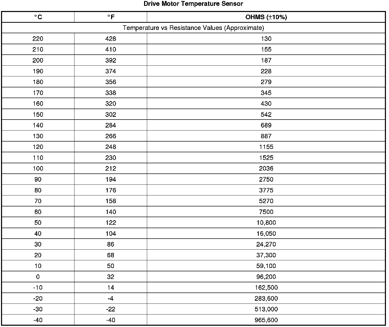
Power Control System: Specifications





Temperature Versus Resistance